Sistema Formulaico vs. Sistema Arm’s Length: Decisiones Clave para el Futuro de la Política Fiscal
Una de las principales preocupaciones de las administraciones tributarias es gravar a los grupos multinacionales con respecto a las operaciones transfronterizas realizadas a través de sus partes relacionadas. El principio arm’s length ha sido fundamental en este sentido, ya que exige que las transacciones entre partes relacionadas repliquen la dinámica de negociación que ocurriría con terceros independientes. Este enfoque busca garantizar que los grupos empresariales tributen en los lugares donde generan valor, aunque su aplicación práctica puede presentar desafíos significativos.
A lo largo de más de 90 años de aplicación global, el sistema arm’s length no ha estado exento de críticas. Se ha señalado que su implementación puede ser compleja, requiriendo un sistema de reglas técnicas que no siempre es sencillo y que puede desventajar a países con administraciones tributarias menos desarrolladas. Además, en algunos casos, el sistema puede ser objeto de manipulación o interpretaciones agresivas, lo que puede conducir a prácticas de precios inadecuados que erosionan la base imponible de las administraciones.
En respuesta a estas limitaciones, se ha propuesto un sistema de reparto formulaico, que asigna la base imponible de un grupo multinacional entre las jurisdicciones donde opera, utilizando variables como ventas, activos y empleados. Este sistema se considera más estable y predecible, y algunos sostienen que reduciría significativamente las controversias generadas por la aplicación del principio arm’s length. Sin embargo, también enfrenta desafíos, como la falta de consenso sobre las métricas de asignación y el riesgo de nuevas formas de disputas fiscales.
En este escenario, ¿cuáles son los pros y contras de cada sistema desde la perspectiva de la teoría económica? A continuación, nuestras consideraciones:
Régimen Arm’s Length vs. Propuesta Formulaica
- Funciones reales, arm’s length y formulaico: la estructura jerárquica
El principio arm’s length se basa en una regla de preferencia: en primer lugar, busca utilizar precios observados en transacciones comparables. Esto implica un mayor nivel de precisión, ya que refleja directamente el precio de mercado del bien o servicio. Solo cuando no hay suficientes datos comparables, el método recurre a márgenes o indicadores financieros, que son más generales y se asemejan al tipo de aproximación propuesta por el régimen formulaico, pero con mayor detalle y, por lo tanto, una aproximación más cercana a las funciones reales desempeñadas por las empresas analizadas.
El régimen formulaico, en contraste, busca sintetizar el análisis en una fórmula de asignación general, lo que significa que, por definición, sus funciones son más agregadas que las empleadas bajo arm’s length.
Formalmente, podemos expresar la jerarquía de funciones de la siguiente manera:

•
Funciones reales, específicas de la empresa analizada.
•
Funciones arm’s length, que buscan aproximarse con mayor detalle a las funciones reales.
•
Funciones formulaicas, necesariamente más generales que las arm’s length.
Esto implica que:
![]()
Y, a su vez:
![]()
Así, la estructura es jerárquica y anidada: el régimen formulaico siempre simplifica en exceso lo que arm’s length puede capturar con mayor detalle.
- El problema del sesgo sistemático
En el régimen formulaico, para cada conjunto
se definiría un rendimiento estándar basado en medidas de tendencia central.
Este rendimiento se define como:

Esto genera un sesgo inevitable:
• Si el subconjunto de la función arm’s length correspondiente a la función real se encuentra en el extremo alto de la distribución de rendimientos dentro del conjunto formulaico, entonces el rendimiento se subestima:
![]()
• Si se encuentra en el extremo bajo, se sobreestima:
![]()
En la práctica, las actividades de mayor riesgo y complejidad suelen ubicarse en los rangos más altos, mientras que las actividades rutinarias en los más bajos. Por lo tanto, el sesgo es sistemáticamente regresivo: penaliza a quienes realizan actividades de mayor valor relativo dentro de cada conjunto formulaico y recompensa a quienes realizan actividades de menor valor.
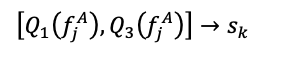
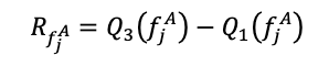
- El papel de los rangos y la dispersión como información
El régimen arm’s length no se limita a asignar un valor único, sino que utiliza rangos de plena competencia para cada función
típicamente definidos por el primer y tercer cuartil de las observaciones comparables:

El riesgo asociado con la función se expresa en la longitud del rango intercuartílico:

• Un valor grande de
indica alta dispersión y mayor riesgo.
• Un valor pequeño de
indica condiciones más estables y menor riesgo.
En contraste, el régimen formulaico reemplaza el rango intercuartílico por un rendimiento estándar para cada función agregada ![]()

Equivalente a asumir dispersión cero:

Así, la propuesta formulaica elimina la información contenida en la dispersión, que no es ruido, sino un reflejo de las condiciones reales de riesgo del mercado.
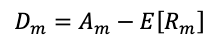
- Consecuencias económicas: eficiencia, incentivos y productividad global
Sea
el rendimiento esperado de las funciones localizadas en una jurisdicción
y
el rendimiento asignado bajo la fórmula. La discrepancia es:
![]()
•
la jurisdicción recibe menos de lo que debería.
•
recibe más de lo que debería.
La inversión en infraestructura institucional y productiva —entendida en sentido amplio: incluyendo infraestructura física (carreteras, puertos, energía, telecomunicaciones) e institucional (servicios legales, certeza jurídica, protección de la propiedad, marcos regulatorios)— depende directamente de la rentabilidad esperada de atraer actividades de mayor rendimiento.

Si el régimen formulaico sistemáticamente infravalora a las jurisdicciones que generan rendimientos relativamente altos, entonces la inversión será menor que bajo un régimen arm’s length.
- Consideraciones críticas
Podría argumentarse que el enfoque arm’s length no siempre identifica funciones reales específicas, pero incluso en esos casos se aproxima más a ellas que el régimen formulaico, cuyo propósito declarado es la simplificación. El régimen formulaico puede parecer más sencillo, pero crea incentivos regresivos.
El sesgo de la fórmula genera un problema de riesgo moral:
- Las jurisdicciones que intentan atraer actividades de mayor rendimiento reciben menos de lo que deberían.
- Las jurisdicciones con actividades de menor rendimiento reciben más de lo que deberían.
El incentivo es perverso: las jurisdicciones más productivas reducen sus estándares e inversiones, mientras que las menos productivas se benefician injustamente.
El resultado es una asignación ineficiente de recursos a nivel global, que afecta:
- La ubicación óptima del capital y el talento.
- La productividad global, al reducir la provisión de infraestructura institucional y productiva.
- El comercio internacional, al incentivar estrategias fiscales y regulatorias que priorizan la fórmula sobre la realidad económica.
Otra crítica es que el régimen formulaico reduciría los costos administrativos para las jurisdicciones. Sin embargo, este objetivo puede lograrse de manera más eficiente mediante tecnologías avanzadas (por ejemplo, inteligencia artificial aplicada al análisis de comparables), cuyo desarrollo depende precisamente de fomentar actividades de mayor valor agregado. Un régimen que penaliza estas actividades socava la posibilidad de crear las herramientas que resolverían el problema de costos.
- Conclusión
El régimen formulaico, por su naturaleza agregada, genera un sesgo sistemático en comparación con el enfoque arm’s length. Al basarse en promedios generales, tiende a subestimar los rendimientos de las actividades de alto valor y a sobreestimar los de menor valor. Esto puede llevar a una asignación ineficiente de recursos y desalentar la inversión institucional. El enfoque arm’s length, aunque complejo, sigue siendo el método más cercano a reflejar la realidad económica de las transacciones entre partes relacionadas.
El régimen de precios de transferencia en México está próximo a cumplir 30 años. Desde la incorporación del principio arm’s length hasta el desarrollo de regímenes específicos para sectores clave, como el maquilador, y la implementación de criterios detallados de documentación, el país se ha consolidado como un operador activo en esta materia. Esto no sorprende, considerando que más de 30,000 multinacionales operan en el país, según datos de la Secretaría de Economía.
La construcción de un régimen eficiente, respaldado por equipos especializados en precios de transferencia con la solvencia técnica necesaria para someter a tributación a grupos empresariales bajo estándares internacionales, ha generado recaudaciones significativas. Tan solo en el último año, dichas recaudaciones han superado los 19,000 millones de pesos. Este éxito demuestra que el sistema arm’s length no solo funciona, sino que también contribuye al desarrollo económico del país, así como al de otras naciones que han invertido en su implementación.
En este contexto, sería más razonable enfocar los esfuerzos en mejorar el sistema arm’s length antes de considerar la adopción de un régimen formulaico cuya aplicación práctica no ha sido probada y que podría resultar contraproducente. Un sistema de asignación formulada, aunque aparentemente más sencillo y predecible, no solo sería menos preciso para reflejar la creación de valor en las operaciones intercompañía, sino que también implicaría una cesión de la soberanía tributaria del país. Por ello, el camino a seguir es fortalecer el régimen actual, no sustituirlo.
Algunas mejoras clave para el sistema arm’s length incluyen:
- Exigir independencia entre asesores fiscales y asesores de precios de transferencia para evitar conflictos de interés.
- Revisar las reglas de aplicación de los métodos de precios de transferencia, asegurando mayor claridad y consistencia.
- Formalizar procedimientos de análisis y entrega de información en operaciones de alto riesgo, como aquellas relacionadas con intangibles, servicios y operaciones financieras.
En conclusión, el estándar arm’s length no solo es crucial en el presente, sino que debiera seguir consolidándose como una pieza clave para el desarrollo de los países emergentes. Aunque complejo, ha demostrado su eficacia, capacidad de adaptación y contribución al desarrollo económico. Mejorar su diseño y fortalecer su aplicabilidad deben ser los pasos prioritarios, en lugar de considerar alternativas que podrían comprometer los objetivos de equidad y recaudación fiscal.
4,086 total views, 141 views today